Reaction Rates

       
Powered by webMathematica

Explanation

A sequential first-order reaction with no back reaction is expressed by the equation

where k and k are the rate constants for the two-step reaction. The intermediate B is created and consumed during the overall reaction converting A to C.

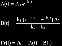
The rate equations for this reaction are as follows.

To view the reaction rate curves for equations A( t) and B( t), we must first supply a starting value for the reactant, A 0, as well as for the rate constants, k1 and k2. A third equation, Pr( t) is also generated from the difference between A( t) and B( t). Change the values above to see how the rate constants affect B and reaction time.

webMathematica harnesses the full range of Mathematica technology to build sophisticated web applications. It gives you, your employees, and your customers immediate access to the world's leading technical computing software from any web browser.